数市

 找回密码
 立即注册
查看: 726|回复: 0

地级市首发经济指数数据

[复制链接]

128

主题

464

帖子

1923

积分

版主

Rank: 7Rank: 7Rank: 7

积分
1923
发表于 2026-1-25 17:09:31 | 显示全部楼层 |阅读模式
本帖最后由 中国资料 于 2026-2-27 17:03 编辑

地级市首发经济指数数据

最新版数据已整理为Excel格式,数据的时间区间为2000-2024年,内含“数据+计算方法+数据来源+参考文献”,欢迎下载!



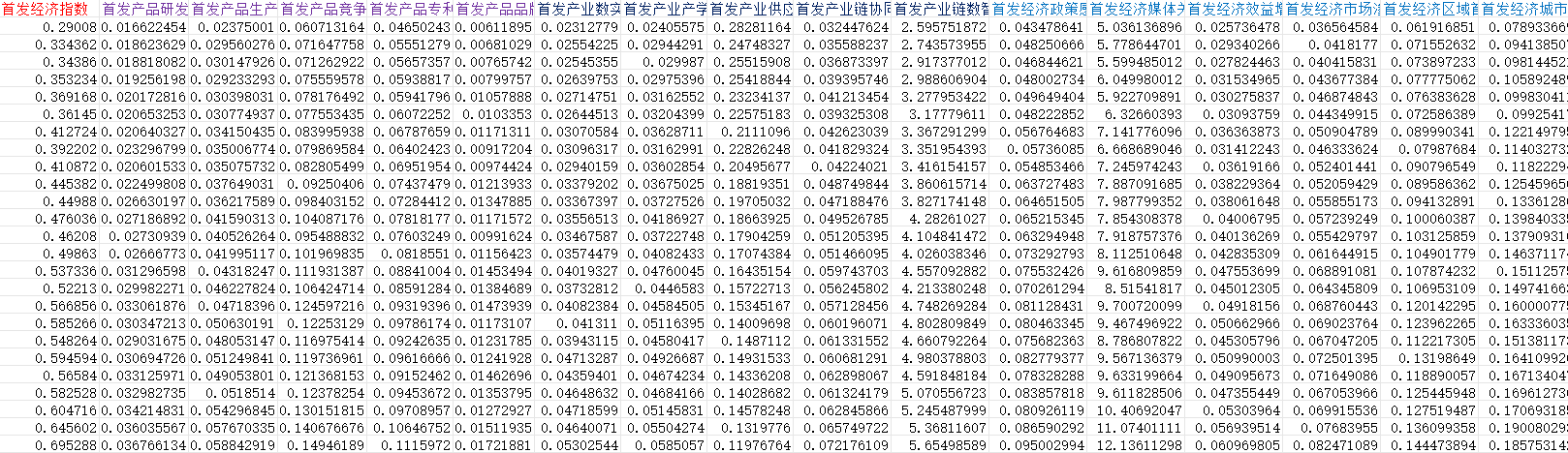
创新扩散理论认为,创新的价值实现需要经历“创新生成—系统传导—市场落地”的完整过程。在首发经济发展中,企业是“创新源”,通过生成具有技术优势与市场潜力的创新成果奠定扩散基础(张鹏和李小红,2025;陆岷峰,2025);产业是“创新链”,依托产业链协同与技术渗透实现创新的跨主体传导(王元地等,2025b;张夏恒,2025);市场是“创新场”,通过政策适配与消费者接受完成创新的价值变现(宋丹和徐政,2025;刘英杰和杜昀谦,2025)。三者以创新扩散为主线,形成“首发企业创新—首发产业升级—首发市场拓展”的闭环。同时,市场反馈反向指导企业调整创新方向、优化产业传导路径,使创新扩散不断适配市场需求,为首发经济从“单点创新”向“系统创新”跃迁提供理论支撑,也为推动消费升级、构建国内统一大市场提供实践路径。

第一,首发企业创新是首发经济创新扩散的起点,核心是生成具有扩散潜力的创新成果,通过“研发投入—成果转化—差异化优势”的逻辑,打造可被产业承接、市场接受的首发产品。首发产品研发效率是企业研发资源向创新成果转化的能力,高效的研发效率意味着企业能缩短创新性首发产品的生成周期,易于形成先发优势,为后续向产业、市场扩散抢占“时间窗口”。首发产品生产效率是企业创新成果向实际生产力转化的成效,生产效率的提升意味着企业更能将专利、技术等创新成果转化为可批量供应的首发产品,为创新从企业向市场扩散提供“物质基础”。首发产品竞争优势是企业依托创新形成的市场差异化与垄断力,竞争优势越强,企业创新成果越难被替代。它既能保障创新扩散过程中的自有收益,又能吸引产业链上下游协同开展创新活动。首发产品专利质量是企业专利的技术覆盖广度与技术深度,高质量专利意味着创新具有更强的技术延展性与适配性,能适配产业链多环节的技术需求。首发产品品牌价值是消费者对企业首发产品的信任度与认同感,高品牌价值能降低消费者对首发产品的接受门槛,加速创新从“先锋消费者”向“大众消费者”扩散。

第二,首发产业升级是首发经济创新扩散的中枢,核心是推动企业创新在产业链内高效传导,通过“技术渗透—协同整合—风险防控”的逻辑,实现首发经济创新从单一企业向产业生态的延伸。首发产业数实融合水平是数字技术与实体经济在首发产业内的融合深度,高水平融合意味着数字创新能渗透到首发产业生产、管理、服务各环节,推动首发产业整体技术升级。首发产业产学研融合度是高校、科研机构与首发产业的技术合作深度,产学研融合度越高,科研机构的技术创新越易向产业传导,填补产业技术短板。首发产业供应链集中度是产业对少数供应商的依赖程度,若集中度过高,会导致产业对少数主体的依赖度上升,削弱产业链整体的创新协作意愿,甚至因单一主体波动阻断创新传导。首发产业产业链协同聚集度是首发产业内专业化分工与供应链整合的协同水平,协同聚集度越高,意味着产业越能通过分工细化、资源整合,推动创新在上下游快速传递,形成“链上创新共振”。首发产业数智化转型度是首发产业对数字技术、智能技术的应用深度,数字技术能打破产业链信息壁垒,智能技术能优化创新资源配置,二者共同提高首发产业创新的扩散效率

第三,首发市场拓展是首发经济创新扩散的终点,核心是实现创新成果在市场中的落地转化,通过“政策适配—传播放大—价值反馈”的逻辑,完成首发经济创新从产业到市场的最终扩散。首发经济政策感知度是首发企业对宏观经济政策的解读与响应能力,高政策感知度意味着企业能精准把握政策支持的市场方向,推动首发产品创新成果向政策鼓励的领域扩散。首发经济媒体关注度是媒体对首发经济活动的报道与传播力度,高关注度能快速提升首发产品的市场认知度,缩短创新从“知晓”到“接受”的扩散周期。首发经济效益增长率是首发企业通过创新实现的销售增长成效,增长率越高,意味着创新成果越契合市场需求,能通过销售增长验证创新的市场可行性,为后续创新扩散提供“价值示范”。首发经济市场渗透率是首发企业在所在行业的市场覆盖广度,高渗透率意味着创新成果已在行业内广泛扩散,从“少数企业应用”变为“行业主流选择”。首发经济区域首发率是首发企业对区域市场的渗透深度,区域首发率越高,意味着企业创新能精准匹配区域市场需求,在特定区域形成集中扩散效应,成为区域首发经济的“核心枢纽”。首发经济城市贡献度是首发企业对区域公共财政的回馈水平,城市贡献度越高,意味着创新在推动企业发展的同时,能反哺区域公共服务,为创新持续扩散营造良好社会环境。根据以上阐释,构建首发经济测度体系。

数据已进行标准化处理,各地级市之间的数据可比,也可考察数据的动态变化。

数据来源权威、可靠、详实,并由中国经济研究资料室精心整理。


地级市首发经济指数1.png

地级市首发经济指数2.png

回复

使用道具 举报

您需要登录后才可以回帖 登录 | 立即注册

本版积分规则

手机版|数市

Email:2791600291@qq.com

版权所有 © 数市 保留所有权利

京ICP备05065075号-1 京公网安备110402430047号

数市

版主QQ:2791600291

http://idata.work-专业数据市场

专注于分享新颖、独特和优质的数据

快速回复 返回顶部 返回列表